Pompa transferowa benzenu QHS-50-5, AISI 316
Marka:
QeehuaCechy charakterystyczne
Producent:
Wydajność, m3/godz:
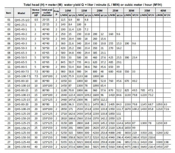
25.5
Wysokość podnoszenia, m.w.St:
25
Materiał:
AISI 316 stal nierdzewna
Seria pomp:
QHS
Kraj pochodzenia:
Chiny
Średnica króćca wlotowego:
DN50
Zobacz wszystkie
Dokumentacja
Kategorie
Pompy wspornikowe, Pompy obiegowe, Pompy z tworzyw sztucznych, Pompy chemiczne, Pompy chemoodporne, Pompy do alkaliów, Pompy do galwanizacji, Pompy do kwasu, Pompy do kwasu amidosulfonowego, Pompy do kwasu azotowego, Pompy do kwasu chlorowodorowego, Pompy do kwasu fluorowodorowego, Pompy do kwasu fosforowego (kwasu ortofosforowego), Pompy do kwasu mrówkowego (kwas metanowy), Pompy do kwasu siarkowego, Pompy do kwasu szczawiowego, Pompy do wody morskiej, Pompy kwasoodporne
Ulubione
Porównanie
Produkty z tej samej kategorii
Kupuj również z tym produktem
Wymiana lub zwrotKonsument ma prawo do odstąpienia od umowy w terminie 14 dni i obowiązek zwrotu towaru w ciągu kolejnych 14 dni
Warunki dostawyKoszty dostawy są obliczane w zależności od wybranego towaru
Gwarancja i jakośćProdukty posiadają gwarancję producenta, importera lub sprzedawcy, obowiązującą na terenie Polski
Płatność onlineZa towar można zapłacić przelewem bankowym oraz online przez system płatności Przelewy24Niniejsze ogłoszenie / reklama jest zaproszeniem do zawarcia umowy i nie stanowi oferty w myśl. art. 66, par. 1 Kodeksu Cywilnego
Dane techniczne Pompa transferowa benzenu QHS-50-5, AISI 316
Producent | Qeehua |
Wydajność, m3/godz | 25.5 |
Wysokość podnoszenia, m.w.St | 25 |
Materiał | AISI 316 stal nierdzewna |
Seria pomp | QHS |
Kraj pochodzenia | Chiny |
Średnica króćca wlotowego | DN50 |
Średnica króćca wylotowego | DN50 |
Moc, kW | 3,7 |
Zasilanie | 3х380 V, 50 Hz |
Typ Pompy | Konsolowy |
Typ napędu | Elektryczny |
Rodzaj instalacji | Poziomy |
Typ sprzętu | z silnikiem |
Wydajność (max), m3/godz | 25.5 |
Wysokość podnoszenia (max), m.w.St | 25 |
Materiał wału | SSIC |
Opis Pompa transferowa benzenu QHS-50-5, AISI 316
Pompa jest używana do ogólnej produkcji czystej wody, obróbki powierzchni, przemysłu spożywczego i chemicznego. Korpus pompy może być wykonany ze stali AISI304 lub AISI316, typ uszczelnienia wału zgodnie z wymaganiami chemicznymi. Główny korpus pompy jest wykonany z wysokiej jakości materiałów poprzez precyzyjne odlewanie, o mocnej i zwartej konstrukcji. Zaleta produktu: Unikalna technologia, niski poziom hałasu, wysoka wydajność, odporność na korozję, długa żywotność. Opatentowana technologia, certyfikat jakości CE Unii Europejskiej, SGS. Wysoka odporność na temperaturę, odpowiednia do wielu rodzajów cieczy. Pompa odśrodkowa z silnikiem 4-biegunowym rozwiązuje problem szybkiego wzrostu temperatury cieczy. Wyposażona w urządzenie zabezpieczające przed biegiem jałowym, które może zapobiec uszkodzeniu uszczelnienia wału z powodu biegu jałowego pompy w przypadku braku cieczy. Wtórna efektywność energetyczna, oszczędność energii i ochrona środowiska (dostosowane).
Dokumentacja Pompa transferowa benzenu QHS-50-5, AISI 316
Pobierz instrukcje, katalog dla Pompa transferowa benzenu QHS-50-5, AISI 316
Pompa transferowa benzenu QHS-50-5, AISI 316 opinię

Pomoc w doborze
+48 22 390 63 48
Dział sprzedaży
W przypadku jakichkolwiek pytań podczas składania zamówienia, prosimy o kontakt pod wskazanym numerem telefonu.
Lub wypełnij formularz na stronie
Pomoc w doborze
Lub wypełnij formularz na stronie
Pomoc w doborze

























































































































